立即注册找回密码

QQ登录

只需一步,快速开始

微信登录

微信扫一扫,快速登录

搜索
小桔灯网 门户 资讯中心 杂侃天下 查看内容

EMC测试不合格,如何整改?

2021-12-31 13:58| 编辑: 沙糖桔| 查看: 3736| 评论: 0|来源: 医疗零组件平台医配淘 | 作者:医配淘

摘要: 一、EMC整改意见:1、在拿到整改意见书以后,需要提前定位好EMC整改计划。没有定位好计划就去盲目的整改产品就像无头的苍蝇一样到处乱动,这样只会增加整改的成本。2、定位手段,对于这里小编觉得主要可以分为两点。 ...


一、EMC整改意见:


1、在拿到整改意见书以后,需要提前定位好EMC整改计划。没有定位好计划就去盲目的整改产品就像无头的苍蝇一样到处乱动,这样只会增加整改的成本。


2、定位手段,对于这里小编觉得主要可以分为两点。第一:直觉判断,需要完全依托工程师的直觉和经验来进行判断。第二:比较测试,根据测试仪器所提供的数据来进行分析问题。


二、EMC整改流程:


1、RE超标整改流程:



2、电线电缆超标整改流程:


3、信号电缆整改流程:


4、屏蔽体泄漏整改流程:

 

三、EMC整改的一些小建议


1、电容的滤波作用


即频率f越大,电容的阻抗Z越小。

当低频时,电容C由于阻抗Z比较大,有用信号可以顺利通过;

当高频时,电容C由于阻抗Z已经很小了,相当于把高频噪声短路到GND上去了。

 

2、电容滤波在何时会失效


整改中常常会使用电容这种元器件进行滤波,往往有“大电容滤低频,小电容滤高频”的说法。

以常见的表贴式MLCC陶瓷电容为例,进行等效模型如下:




容值10nF,封装0603的X7R陶瓷的模型参数如下:



由于等效模型中既有电容C,也有电感L,组成了二阶系统,就存在不稳定性。对电路回路来说,就是会发生谐振,谐振点在如下频率处:



下图是谐振曲线的示例:

 


即常说的在谐振点前是电容,谐振点之后就不再是电容了。


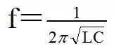
3、LC滤波何时使用


如果串联电感L,再并联组成C,就形成了LC滤波:


单独一个电容C是一阶系统,单独一个电感L也是一阶系统,在幅值衰减斜率是-20dB。但LC组成的二阶系统,幅值衰减斜率是-40dB,更靠近理想的“立陡”的截止频率的效果,即滤波效果更好。



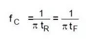
4、PWM频率到底是多少


往往提到PWM,比如会说用20kHz PWM驱动电机等。但实际上,这个20kHz仅代表PWM的脉冲周期是50us:


那么所谓的20kHz PWM在频域上的频率点落在哪里呢,如下公式:


对于阶跃信号来说,由于上升时间tr无穷小,则频率f无穷大。当频率高了之后,寄生参数则不能在忽略,会引发很多谐振的问题。

从信号上来看,就是很陡峭的阶跃信号会有过冲和振荡的问题。简单来说就是频率f越大,则噪声所占的频率就会越宽泛,即EMC特性就会越差。

 

5、如何将原理图和PCB对应起来


由于细分工种的问题,原理图和PCB被割裂开来,由两组人进行分工作业:


例如在原理图上有如下的电路:


其隐含一个问题就是在PCB上其实V1的负极和C1的负极是有一条线(PCB layout工具软件中用的词比较准确,Trace,踪迹/轨迹)。

往往在设计阶段A->B->C是都会关注的。如果EMC出现问题,除了要在原理图上查找电路参数的问题,还需要特别关注C->D,即回流路径。


如果回流路径不顺畅,会造成信号的畸变:



比如在EMC试验时,MCU的ADC采集到的信号被干扰到了,则除了在原理图上分析外,在PCB上讲该信号高亮出来,然后再耐心寻找该信号的回流路径是否有不顺畅的地方:



对着信号线头脑中想象回流路径,有点意识流的感觉。


6、总结




END



声明:
1、凡本网注明“来源:小桔灯网”的所有作品,均为本网合法拥有版权或有权使用的作品,转载需联系授权。
2、凡本网注明“来源:XXX(非小桔灯网)”的作品,均转载自其它媒体,转载目的在于传递更多信息,并不代表本网赞同其观点和对其真实性负责。其版权归原作者所有,如有侵权请联系删除。
3、所有再转载者需自行获得原作者授权并注明来源。

最新评论

关闭

官方推荐 上一条 /3 下一条

客服中心 搜索 洽谈合作
返回顶部