立即注册找回密码

QQ登录

只需一步,快速开始

微信登录

微信扫一扫,快速登录

搜索

刘博谈临床:临床统计方法之三——相关系数分析

2021-6-3 16:07| 编辑: 沙糖桔| 查看: 3113| 评论: 1|来源: 开发与验证

摘要: 这是刘博谈临床第十八篇,本篇主要对相关系数如何计算进行阐述。相关分析以参比系统测定值为x轴、考核系统测定值为y轴作散点图,根据散点图判断两者的相关程度,计算样本相关系数R。R反映了具有直线关系的两个变量间 ...

这是刘博谈临床第十八篇,本篇主要对相关系数如何计算进行阐述。


相关分析以参比系统测定值为x轴、考核系统测定值为y轴作散点图,根据散点图判断两者的相关程度,计算样本相关系数R。


R反映了具有直线关系的两个变量间的相关关系密切程度和相关方向,在定量体外诊断试剂临床试验中,变量般为正相关,R越接近1,说明两个变量相关程度越强;越接近0,相关程度越弱。


如果两个变量都符合正态分布,采用Pearson相关系数;如两个变量为非正态分布,应通过对数转换等方法使之符合正态分布,再根据变换值计算相关系数或者直接采用Spearman相关系数。

1、Pearson相关系数

是最常用的相关系数,又称简单相关系数,取值到1,绝对值越大,说明相关性越强。相关系数大于0表示正相关,小于0表示负相关,等于0表示不相关。


适用条件如下:

◎ 两变量呈直线相关关系,如果是曲线相关可能不准确。

◎ 极端值会对结果造成较大的影响。

◎ 两变量符合双变量联合正态分布。


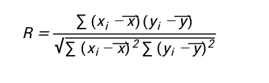
Pearson相关系数R的计算公式如下:

2、Spearman等级相关系数

对原始变量的分布不做要求,适用范围较Pearson相关系数广,即使是等级资料,也可适用。但其属于非参数方法,检验效能较Pearson相关系数低。


Spearman等级相关系数r的计算按下述公式进行计算,公式中和Rx和Ry,分别表示检测结果x和y按照从小到大的顺序进行编秩后的秩次。事实上,该相关系数就是两种检测结果进行次转换后的Pearson相关系数。

简单相关系数对随机误差敏感,但不能同时兼顾系统误差。样本相关系数R的大小与样本量有关,不能仅凭样本相关系数的大小判断两个变量是否存在相关,而应根据假设检验的结果做出判断。


要检验R是否来自总体相关系数的总体,即计算出R值后,需要进行的假设检验,常用t检验,自由度v=n—2,检验统计量计算公式如下:


对于秩相关系数的假设检验,如果样本量较小(n<50),可以查Spearman Rs界值表;如果样本量较大(n>50),则可以用下列公式进行计算, 自由度v=n-2。

声明:
1、凡本网注明“来源:小桔灯网”的所有作品,均为本网合法拥有版权或有权使用的作品,转载需联系授权。
2、凡本网注明“来源:XXX(非小桔灯网)”的作品,均转载自其它媒体,转载目的在于传递更多信息,并不代表本网赞同其观点和对其真实性负责。其版权归原作者所有,如有侵权请联系删除。
3、所有再转载者需自行获得原作者授权并注明来源。
发表评论

最新评论

引用 hhy 2021-8-10 17:32
大佬,麻烦问下,相关系数r的标准值怎么确定,有相关标准、文件么?

查看全部评论(1)

关闭

官方推荐 上一条 /3 下一条

客服中心 搜索 洽谈合作
返回顶部